41 persuasive speech on astrology

5-minute speech topics: Everything You Need to Know (With Examples) Persuasion is an act of asking others to behave a certain way or do a certain thing. Oftentimes, politicians and salespersons are famous for using persuasion techniques like rhetoric and metaphors to persuade the crowd to do something. To celebrate Wedding toasts are the best example of celebratory speeches. Essay On Astrology | WOW Essays Introduction. Astrology is a name that comes from Greek words logos (study or science) and astron (stars). As such, astrology is a science or study of stars. The word differs from astronomy in that astrology studies the correlations between celestial events and humanly meaningful events (Lewis, 2003). The American Federation of Astrologers, as ...

I'm doing a speech on astrology! Need ideas!? - Lindaland - Linda Goodman You're welcome! Good luck. "When we hear the word "Astrology" we think of the Horoscope column in the newspaper or on the internet, when there's really so much more to astrology than that. "This is an astrological chart and you will quickly notice that it is a circle with two axis intersecting it, creating a cross.

Persuasive speech on astrology

Persuasive speech on astrology

Declinations « Alice Portman, Astrologer Now we have astrology programs that include declinations I think many people will start working with them again. Also Magi astrologers work extensively with these measurements and so have re-activated astrologers' interest. ... (Venus) This clearly gives him sweet and persuasive speech. So even though these planets are not in longitude aspect ... Your Inspired Weekly Horoscope From Rob Brezsny: A 'Free Will Astrology' Rob's Free Will Astrology, is a syndicated weekly column appearing in over a hundred publications. ... dumb down your persuasive speech, pretend you don't have so much stamina, disguise your ... Horoscopes Persuasive Speech - 1448 Words | Bartleby (I can't remember the website now but) A website said that if you believe in astrology wholeheartedly that is 90%-100% true for you. If you believe on the down low, just dabble here and there, it is most likely 40%-60% true for you. Finally, if you don't believe at all it would only be 0%-20% true for you. In some aspects it seems totally fake.

Persuasive speech on astrology. Top 10 Reasons To Believe in Astrology | Tarot Life It enlightens your mind and shows a new perspective. You realize your goals and tend to interpret events, gestures, and facts with a bird's eye view. 4. You May Realize What Are Your True Strengths Not as a superhero movie, but horoscope can help you to realize what your true strength is and how can you use it. The case for and against astrology - astrology-and-science.com "Anyone who makes a serious and open-minded study of astrology becomes totally unable to scoff. Its truths are inarguable." (Mary Coleman, Australian psychologist and astrologer, Astro-Pick your Perfect Partner 1986.) Pisces Daily Horoscope - September 5, 2022 | Free Online ... Sep 05, 2022 · You are articulate and persuasive of speech, and you will need all that today to consolidate your position. New ventures, lifestyle activities or creative projects bring changes at home ... Persuasive Astrology Essay Example For FREE 📝 - New York Essays $35.80 for a 2-page paper Astrology is a broad topic with deep roots in history that must be broken down in order to fully understand it. The average person is only aware of their sun sign; this is only the beginning of one's zodiac profile. Each planet in our solar system is representative of a certain aspect of life.

How to Argue That Astrology is Fake: 9 Steps (with Pictures) - wikiHow Part 1Testing the Star Sign. 1. Pretend you are another star sign around someone who knows a good deal about astrology. See if they guess the incorrect star sign that you are pretending to be. 2. Read the daily or weekly horoscope. Compare other star signs to yours. Prepare to be a social butterfly when Mercury enters Libra 25.8.2022 · Mercury, our planet of connection and interaction, will dance through Libra from August 25 until September 23, 2022. It will return one final time from October 10 until October 29, 2022. Persuasive Essay on Astrology (600 Words) - PHDessay.com Persuasive Essay on Astrology 574 The study of astrology may seem like a world full of mysticism and uncertainty. It is natural to question how someone's personality traits can be determined by planetary alignments; after all it does seem far-fetched. Astrology and the zodiac are a lot more complex than the average person realizes. Informative Speech (astrology And Horoscopes) By Brooke Filtz On Prezi ... Search Images from our new Mungfali App, Download it now from Play store.

Astrology Speech.docx - Astrology and Zodiacs Explained... View Astrology Speech.docx from CMST 220 at Clark College. Astrology and Zodiacs Explained Topical Pattern Trin Tillett I. Introduction A. In your life, people have probably asked you, "What is your The Importance of Astrology - Astrodienst Astrology helps us to embed our lives into greater cycles. It reminds us to be humble, that our time on Earth is nothing compared with the age of the Universe and that there are other elements which are equally (or perhaps more) important. It is also a way of speaking with the divine. Informative Speech Astrology - it's in the stars 25 % Informative Speech Astrology - it's in the stars $39.94 $29.94 This informative speech explains the background to astrology and what it could mean in our lives. It explains its links with the seasons and how mankind has studied the stars since time immemorial. 3 Ways to Write a Speech if You're Third Speaker - wikiHow Feb 20, 2022 · Article Summary X. If you’re the third speaker on your debate team, you’ll need to write a speech that attacks the opponent’s case. Before the debate, make a list of key points from the first and second speaker so you have them ready when it’s time for your closing summary.

Informative and Persuasive Speaking

Informative and Persuasive Speaking

These Persuasive Zodiac Signs Can Convince You To Do Anything Here are the most convincing manipulators of the zodiac most to least using astrology. 1. ARIES (March 21 - April 19) An Aries will try to persuade you on how fun her request will be by not only...

100 Persuasive Speech Topics for Kids | LoveToKnow

100 Persuasive Speech Topics for Kids | LoveToKnow

Pisces Daily Horoscope – September 8, 2022 | Free Online ... 7.9.2022 · Pisces: You are articulate and persuasive of speech, and you will need all that today to consolidate your position. New ventures, lifestyle activities or creative projects bring changes at home ...

Horoscopes: Fact, fiction or fun? Horoscopes are a part of ...

Horoscopes: Fact, fiction or fun? Horoscopes are a part of ...

This Month's Astrology September 2022 | Cafe Astrology .com 27.8.2022 · Cafe Astrology reports on the month's astrology forecast and horoscopes: September 2022 ... There can be times when you're so busy that you can be a little impatient or impulsive with speech, movement, and even ... and your social life can get a nice boost. You are always a persuasive personality, but this period adds more charm ...

Free Will Astrology: Week of July 21, 2022 - Shepherd Express

Free Will Astrology: Week of July 21, 2022 - Shepherd Express

Persuasive Speech Topics For 2022 - Tutorbin Blog Top Persuasive Speech Topics for 2022 on Technology. Google is the death of libraries. Social media is an end of face to face conversations. AI is the future of technology. Technology is changing our lives. Limiting screen time for adults. Government should regulate internet usage. Technology has made life better.

35 Best essay writing service ideas | essay writing, essay ...

35 Best essay writing service ideas | essay writing, essay ...

Persuasive Essay: The Earth Is Flat, And The Abolical World Working to make a convincing essay on a ridiculous topic// strong persuasive voice ... It can also be agreed upon between these two philosophers that astrology is not a science but rather a pseudo-science, or non-science. Popper determines that astrology is pseudo-science because, even though the process provides observations and results, it is ...

Freewill Astrology: Weekly horoscope for July 21, 2022 - NOW ...

Freewill Astrology: Weekly horoscope for July 21, 2022 - NOW ...

Rahu Mahadasha Antardasha Complete Analysis Of 9 Planet FREE Rahu Mahadasha and Antardasha Analysis with All Planets based on Vedic Astrology. Rahu Mahadasha is for 18 years with Ardra, Swati & Shatabhishak Nakshatras. ... or persuasive, or compelling ... disturbance in the think-big process, worry, apprehension of the likelihood of something untoward happening, bad speech, diseases in the eye ...

Persuasive Speech Quotes. QuotesGram

Persuasive Speech Quotes. QuotesGram

Destiny Numbers | Numerology Destiny Numbers | Destiny … 6.9.2022 · He should teach himself not to be narrow-minded or of a narrow outlook to life, emotional, impulsive, hasty in losing his temper, bitter in speech and behaviour, a bad influence and should not be quick to pick up fights. Destiny Number 11. This destiny number is the first of the master numbers and is expressed as 11 or 11/2.

Persuasive Speeches | Speechwriters.com

Persuasive Speeches | Speechwriters.com

Informative Speech Astrology - it's in the stars - iSpeeches.com Informative Speech Astrology - it's in the stars $ 23.96 This informative speech explains the background to astrology and what it could mean in our lives. It explains its links with the seasons and how mankind has studied the stars since time immemorial.

Libra Daily Horoscope – August 10, 2022 | Free Online ...

Libra Daily Horoscope – August 10, 2022 | Free Online ...

Informative Speech: Astrology by Cassidy Malloy - Prezi Blog. Sept. 9, 2022. How to make superfans of your brand; Aug. 15, 2022. What makes an effective presentation + effective presentation strategies Aug. 12, 2022

242 Personal Essay Topics to Inspire You for Your Next ...

242 Personal Essay Topics to Inspire You for Your Next ...

Free Essay: Persuasive Essay on Astrology - 597 Words - StudyMode You'll read something and think to yourself "oh my god, that's me!" You may even feel like you're privacy is being invaded and you'll question how your zodiac can know so much about you, sometimes more than you know about yourself. I can't explain how or why the zodiac is valid, but I encourage you to at least give astrology a chance.

I'm doing a persuasive essay on horoscopes. How reliable are ...

I'm doing a persuasive essay on horoscopes. How reliable are ...

public speaking informative essay - Brittney Prophete Speech title ... View Essay - public speaking informative essay from SPC 2600 at University of South Florida. Brittney Prophete Speech title: What your Zodiac Sign Says about you General Purpose: To inform Specific

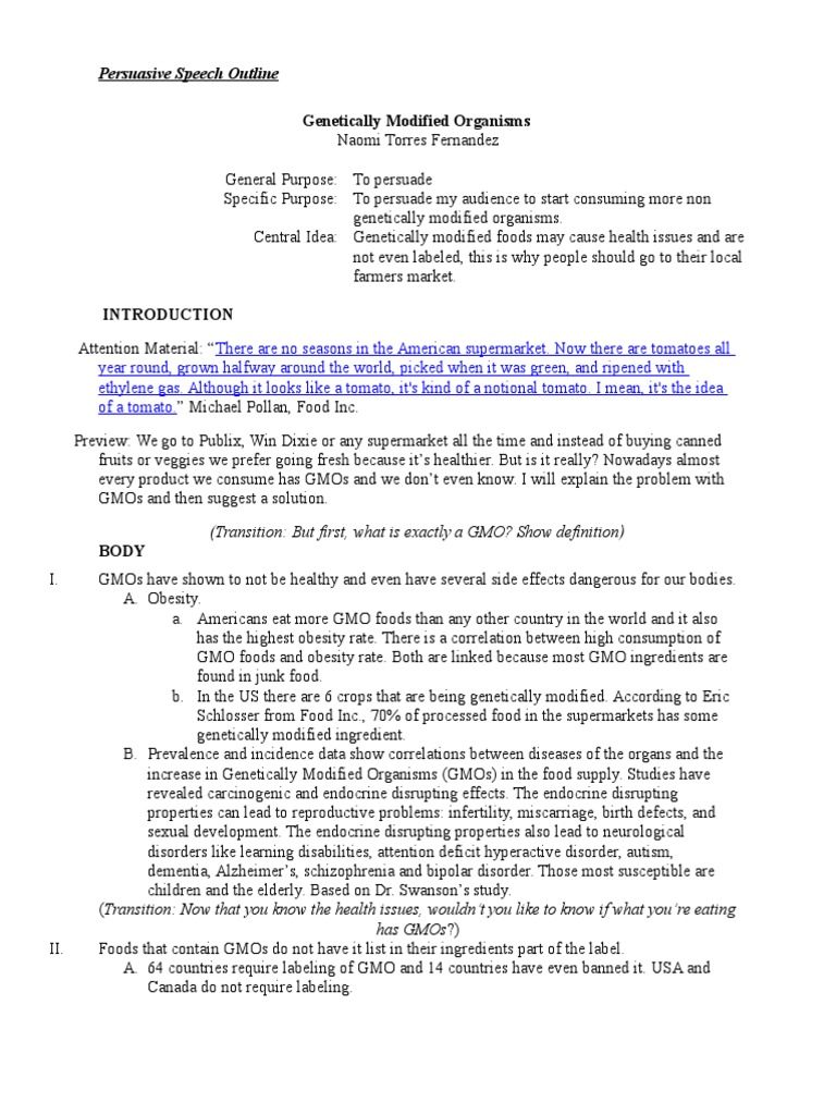
Gmo Persuasive Speech | PDF | Genetically Modified Organism ...

Gmo Persuasive Speech | PDF | Genetically Modified Organism ...

40 Astrology Topics to Study and Impress Everyone Around | DoMyPapers.com For several millennia, astrology has been the engine of scientific thought. It integrated all disciplines related to human life, religion, medicine, social life, mathematics, and geography. Today, the scientific worldview does not have the integrity that was characteristic of ancient science.

Persuasive Speeches:

Persuasive Speeches:

Communications Skills, Speech in Horoscope & Moon Signs If the 2nd lord is connected with 3, 6, 8 and 12 lords, the person will have problems with the speech and quality of persuasion. If the 2nd lord is associated with the 5th and 9th lords, the person will give discourses and speeches in public halls. If the 2nd lord and the 1st lord are connected, the person will think and speak.

50 Astrology Essay Topics: Immerse Yourself in Astrology ...

50 Astrology Essay Topics: Immerse Yourself in Astrology ...

Monthly Horoscopes - September 2022 - Astrology Cafe Sep 01, 2022 · Your ideas are received especially well as you begin the month, and your social life can get a nice boost. You are always a persuasive personality, but this period adds more charm and warmth to your presentation. Mercury turns retrograde on the 9th, however, which can introduce some delays or redirections.

I'm doing a persuasive essay on horoscopes. How reliable are ...

I'm doing a persuasive essay on horoscopes. How reliable are ...

The Internet Classics Archive | Apology by Plato Socrates' Defense How you have felt, O men of Athens, at hearing the speeches of my accusers, I cannot tell; but I know that their persuasive words almost made me forget who I was - such was the effect of them; and yet they have hardly spoken a word of truth. But many as their falsehoods were, there was one of them which quite amazed me; - I mean when they told you to be upon …

24 Best persuasive speech Services To Buy Online | Fiverr

24 Best persuasive speech Services To Buy Online | Fiverr

Funny Persuasive Speech Topics - Assignment Help If the business is your "topic of the day," these funny persuasive speech topics may offer some great help. Unusual ways of making a business: a fun way to succeed. Workplace yoga: do not let routine bring you down. The unbelievable history of the world's most significant corporations. The difficulties and problems of being a millionaire: poor ...

Free Will Astrology for the week of July 21 - Pique Newsmagazine

Free Will Astrology for the week of July 21 - Pique Newsmagazine

Persuasive Speech On Astrology - 1034 Words - Internet Public Library Astrology allows you to pick out the personality traits of an individual based on the signs. An earthelement could be fixed, practical and have a funnier approach to life. Whereas an Air element can be intelligent, cocky and a little bit ego centric which can be slightly incompatible with earth and water signs.

Pin on persuasive writing

Pin on persuasive writing

I'm doing a persuasive essay on horoscopes. How reliable are they ... Your list should persuade you to accept that astrology has zero genuine predictive power, is not a reliable source to determine human potential, and is, in fact, nothing more than a fiction, a parlor game. Evan Meyer MA (English) and JD from Temple University (Graduated 1985) Author has 4.1K answers and 1.6M answer views 3 y Related

Astro-Palmistry - an Introduction - Astrodienst

Astro-Palmistry - an Introduction - Astrodienst

I'm doing a persuasive essay on horoscopes. How reliable are ... Your list should persuade you to accept that astrology has zero genuine predictive power, is not a reliable source to determine human potential, and is, ...

Your Inspired Weekly Horoscope From Rob Brezsny: A 'Free Will ...

Your Inspired Weekly Horoscope From Rob Brezsny: A 'Free Will ...

Daily Horoscope, Today's free horoscope by Peter Vidal - The … It’s much better to be quietly charming and sweetly persuasive. You might even want to experiment with a bit of gentle behind-the-scenes manipulation. SCORPIO OCT 24-NOV 22. You should be concentrating on creating a better atmosphere at work, and encouraging more pleasant conditions all round.

Horoscope Today, August 27, 2019: Read your daily astrology ...

Horoscope Today, August 27, 2019: Read your daily astrology ...

John Garrett | Marvel Cinematic Universe Wiki | Fandom Jonathan "John" Garrett was a turncoat S.H.I.E.L.D. agent who joined HYDRA. When he was injured during a mission in Sarajevo, he survived by becoming the first subject of the Project Deathlok. As a S.H.I.E.L.D. agent, he used his own Level 7 clearance to then become the Clairvoyant, the mastermind behind the Centipede Project. During his time as an agent, he recruited Grant Ward into HYDRA and ...

50 Astrology Essay Topics: Immerse Yourself in Astrology ...

50 Astrology Essay Topics: Immerse Yourself in Astrology ...

ASTROLOGICAL ANALYSIS OF AUTISM AND ASPERGERS SYNDROME - askastrologer.com This is the horoscope chart of a boy born to Indian parents in USA. The Ascendant is Leo. Observe that the Ascendant and the Ascendant lord Sun both are afflicted by Neptune. The planet Mercury is receiving square aspect from Uranus and Mars is in parallel aspect from Uranus. Thus both Mercury and Mars are afflicted by Uranus.

Write a motivational and persuasive speech for you by ...

Write a motivational and persuasive speech for you by ...

Zodiac Persuasive Speech - 499 Words | Bartleby Zodiac Persuasive Speech Decent Essays 499 Words 2 Pages Open Document Aries How to lead a team to the path of success. How to ensure your romance is just as passionate as you. Go on and run the world, Aries! An incident from the past repeats itself, awakening you to your truth. Let this new found wisdom guide you as your release and let go.

35 Best essay writing service ideas | essay writing, essay ...

35 Best essay writing service ideas | essay writing, essay ...

Horoscopes Persuasive Speech - 1448 Words | Bartleby (I can't remember the website now but) A website said that if you believe in astrology wholeheartedly that is 90%-100% true for you. If you believe on the down low, just dabble here and there, it is most likely 40%-60% true for you. Finally, if you don't believe at all it would only be 0%-20% true for you. In some aspects it seems totally fake.

Chapter 25: An Explanation of the Types of Magic: Evil Omens ...

Chapter 25: An Explanation of the Types of Magic: Evil Omens ...

Your Inspired Weekly Horoscope From Rob Brezsny: A 'Free Will Astrology' Rob's Free Will Astrology, is a syndicated weekly column appearing in over a hundred publications. ... dumb down your persuasive speech, pretend you don't have so much stamina, disguise your ...

PDF) Ancient Astrology - Tamysn Barton | Moshe Mitrovich ...

PDF) Ancient Astrology - Tamysn Barton | Moshe Mitrovich ...

Declinations « Alice Portman, Astrologer Now we have astrology programs that include declinations I think many people will start working with them again. Also Magi astrologers work extensively with these measurements and so have re-activated astrologers' interest. ... (Venus) This clearly gives him sweet and persuasive speech. So even though these planets are not in longitude aspect ...

Informative Speech Cupcakes.docx - COMM 150 Informative ...

Informative Speech Cupcakes.docx - COMM 150 Informative ...

Astrology is Real - Persuasive Speech - YouTube

Astrology is Real - Persuasive Speech - YouTube

515 Powerful Persuasive Speech Topics [2022 Update]

515 Powerful Persuasive Speech Topics [2022 Update]

Communications Skills, Speech in Horoscope & Moon Signs ...

Communications Skills, Speech in Horoscope & Moon Signs ...

Persuasive Speech Outline | PDF | Nursing Home Care ...

Persuasive Speech Outline | PDF | Nursing Home Care ...

Free Will Astrology (July 20-26) | Horoscopes | Detroit ...

Free Will Astrology (July 20-26) | Horoscopes | Detroit ...

Pisces Daily Horoscope - August 26, 2022 | Free Online ...

Pisces Daily Horoscope - August 26, 2022 | Free Online ...

Write a motivational and persuasive speech for you by ...

Write a motivational and persuasive speech for you by ...

mercury venus — Monthly Antiscia — ambient astrology

mercury venus — Monthly Antiscia — ambient astrology

Good Topics for Persuasive Speeches | Blog – EssayShark

Good Topics for Persuasive Speeches | Blog – EssayShark

Informative Speech Notes - Informative Speech The Informative ...

Informative Speech Notes - Informative Speech The Informative ...

public speaking informative essay - Brittney Prophete Speech ...

public speaking informative essay - Brittney Prophete Speech ...

Persuasion Funny Quotes. QuotesGram

Persuasion Funny Quotes. QuotesGram

public speaking informative essay - Brittney Prophete Speech ...

public speaking informative essay - Brittney Prophete Speech ...

Persuasive Speech by Aaron Aaron

Persuasive Speech by Aaron Aaron

0 Response to "41 persuasive speech on astrology"

Post a Comment

Iklan Atas Artikel

Iklan Tengah Artikel 1

Iklan Tengah Artikel 2

Iklan Bawah Artikel